Intraoperative Floppy Iris Syndrome (IFIS) has been observed during cataract surgery in some patients treated with alpha-1 blockers (COREG CR is an alpha/beta blocker). This variant of small pupil syndrome is characterized by the combination of a flaccid iris that billows in response to intraoperative irrigation currents, progressive intraoperative miosis despite preoperative dilation with standard mydriatic drugs, and potential prolapse of the iris toward the phacoemulsification incisions. The patient's ophthalmologist should be prepared for possible modifications to the surgical technique, such as utilization of iris hooks, iris dilator rings, or viscoelastic substances. There does not appear to be a benefit of stopping alpha-1 blocker therapy prior to cataract surgery.
Overdosage may cause severe hypotension, bradycardia, cardiac insufficiency, cardiogenic shock, and cardiac arrest. Respiratory problems, bronchospasms, vomiting, lapses of consciousness, and generalized seizures may also occur.
The patient should be placed in a supine position and, where necessary, kept under observation and treated under intensive-care conditions. The following agents may be administered:
For excessive bradycardia: Atropine, 2 mg IV.
To support cardiovascular function: Glucagon, 5 to 10 mg IV rapidly over 30 seconds, followed by a continuous infusion of 5 mg per hour; sympathomimetics (dobutamine, isoprenaline, adrenaline) at doses according to body weight and effect.
If peripheral vasodilation dominates, it may be necessary to administer adrenaline or noradrenaline with continuous monitoring of circulatory conditions. For therapy-resistant bradycardia, pacemaker therapy should be performed. For bronchospasm, β-sympathomimetics (as aerosol or IV) or aminophylline IV should be given. In the event of seizures, slow IV injection of diazepam or clonazepam is recommended.
NOTE: In the event of severe intoxication where there are symptoms of shock, treatment with antidotes must be continued for a sufficiently long period of time consistent with the 7- to 10-hour half-life of carvedilol.
There is no experience of overdosage with COREG CR. Cases of overdosage with carvedilol alone or in combination with other drugs have been reported. Quantities ingested in some cases exceeded 1,000 milligrams. Symptoms experienced included low blood pressure and heart rate. Standard supportive treatment was provided and individuals recovered.
CAPRICORN was a double-blind trial comparing carvedilol and placebo in 1,959 subjects with a recent myocardial infarction (within 21 days) and left ventricular ejection fraction of less than or equal to 40%, with (47%) or without symptoms of heart failure. Subjects given carvedilol received 6.25 mg twice daily, titrated as tolerated to 25 mg twice daily. Subjects had to have a systolic blood pressure greater than 90 mm Hg, a sitting heart rate greater than 60 beats per minute, and no contraindication to β-blocker use. Treatment of the index infarction included aspirin (85%), IV or oral β-blockers (37%), nitrates (73%), heparin (64%), thrombolytics (40%), and acute angioplasty (12%). Background treatment included ACE inhibitors or angiotensin-receptor blockers (97%), anticoagulants (20%), lipid-lowering agents (23%), and diuretics (34%). Baseline population characteristics included an average age of 63 years, 74% male, 95% Caucasian, mean blood pressure 121/74 mm Hg, 22% with diabetes, and 54% with a history of hypertension. Mean dosage achieved of carvedilol was 20 mg twice daily; mean duration of follow-up was 15 months.
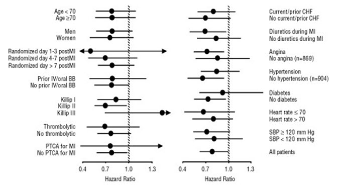
All-cause mortality was 15% in the placebo group and 12% in the carvedilol group, indicating a 23% risk reduction in subjects treated with carvedilol (95% CI: 2% to 40%, P = 0.03), as shown in Figure 3. The effects on mortality in various subgroups are shown in Figure 4. Nearly all deaths were cardiovascular (which were reduced by 25% by carvedilol), and most of these deaths were sudden or related to pump failure (both types of death were reduced by carvedilol). Another trial end point, total mortality and all-cause hospitalization, did not show a significant improvement.
There was also a significant 40% reduction in fatal or non-fatal myocardial infarction observed in the group treated with carvedilol (95% CI: 11% to 60%, P = 0.01). A similar reduction in the risk of myocardial infarction was also observed in a meta-analysis of placebo-controlled trials of carvedilol in heart failure.
Figure 3. Survival Analysis for CAPRICORN (Intent-to-Treat)
Figure 4. Effects on Mortality for Subgroups in CAPRICORN
Although the clinical trials used twice-daily dosing, clinical pharmacologic and pharmacokinetic data provide a reasonable basis for concluding that once-daily dosing with COREG CR should be adequate in the treatment of left ventricular dysfunction following myocardial infarction.
Carvedilol is a racemic mixture in which nonselective β-adrenoreceptor blocking activity is present in the S(-) enantiomer and α1-adrenergic blocking activity is present in both R(+) and S(-) enantiomers at equal potency. Carvedilol has no intrinsic sympathomimetic activity.
80 mg
NDC 69784-388-13
WOODWARD PHARMA
ONCE-A-DAYDOSING
COREG CR(carvedilol phosphate)Extended-release Capsules
30 CapsulesRx only
0
In clinical trials with immediate-release carvedilol, bradycardia was reported in about 2% of hypertensive subjects, 9% of subjects with heart failure, and 6.5% of subjects with myocardial infarction with left ventricular dysfunction. Bradycardia was reported in 0.5% of subjects receiving COREG CR in a trial of subjects with heart failure and subjects with myocardial infarction and left ventricular dysfunction. There were no reports of bradycardia in the clinical trial of COREG CR in hypertension. However, if pulse rate drops below 55 beats per minute, the dosage of COREG CR should be reduced.
Carvedilol phosphate is a nonselective β-adrenergic blocking agent with α1-blocking activity. It is (2RS)-1-(9H-Carbazol-4-yloxy)-3-[[2-(2-methoxyphenoxy)ethyl]amino]propan-2-ol phosphate salt (1:1) hemihydrate. It is a racemic mixture with the following structure:
Carvedilol phosphate is a white-to-almost white solid with a molecular weight of 513.5 (406.5 carvedilol free base) and a molecular formula of C24H26N2O4∙H3PO4∙1/2 H2O.
COREG CR is available for once-a-day administration as controlled-release oral capsules containing 10, 20, 40, or 80 mg carvedilol phosphate. COREG CR hard gelatin capsules are filled with carvedilol phosphate immediate-release and controlled-release microparticles that are drug-layered and then coated with methacrylic acid copolymers. Inactive ingredients include crospovidone, hydrogenated castor oil, hydrogenated vegetable oil, magnesium stearate, methacrylic acid copolymers, microcrystalline cellulose, and povidone.
Chronically administered β-blocking therapy should not be routinely withdrawn prior to major surgery; however, the impaired ability of the heart to respond to reflex adrenergic stimuli may augment the risks of general anesthesia and surgical procedures.
COREG CR is indicated to reduce cardiovascular mortality in clinically stable patients who have survived the acute phase of a myocardial infarction and have a left ventricular ejection fraction of less than or equal to 40% (with or without symptomatic heart failure) [see Clinical Studies (14.2)].
DOSAGE MUST BE INDIVIDUALIZED AND MONITORED DURING UP-TITRATION. Treatment with COREG CR may be started as an inpatient or outpatient and should be started after the patient is hemodynamically stable and fluid retention has been minimized. It is recommended that COREG CR be started at 20 mg once daily and increased after 3 to 10 days, based on tolerability, to 40 mg once daily, then again to the target dose of 80 mg once daily. A lower starting dose may be used (10 mg once daily) and/or the rate of up-titration may be slowed if clinically indicated (e.g., due to low blood pressure or heart rate, or fluid retention). Patients should be maintained on lower doses if higher doses are not tolerated. The recommended dosing regimen need not be altered in patients who received treatment with an IV or oral β-blocker during the acute phase of the myocardial infarction.
Conduction disturbance (rarely with hemodynamic compromise) has been observed when COREG CR is coadministered with diltiazem. As with other β-blockers, if COREG CR is to be administered with calcium channel blockers of the verapamil or diltiazem type, it is recommended that ECG and blood pressure be monitored.
β-blockers may enhance the blood-sugar-reducing effect of insulin and oral hypoglycemics. Therefore, in patients taking insulin or oral hypoglycemics, regular monitoring of blood glucose is recommended [see Warnings and Precautions (5.6)].
COREG CR is indicated for the management of essential hypertension [see Clinical Studies (14.3, 14.4)]. They can be used alone or in combination with other antihypertensive agents, especially thiazide-type diuretics [see Drug Interactions (7.2)].
Amiodarone and its metabolite desethyl amiodarone, inhibitors of CYP2C9, and P-glycoprotein increased concentrations of the S(-) enantiomer of carvedilol by at least 2-fold [see Clinical Pharmacology (12.5)]. The concomitant administration of amiodarone or other CYP2C9 inhibitors such as fluconazole with COREG CR may enhance the β–blocking activity, resulting in further slowing of the heart rate or cardiac conduction. Patients should be observed for signs of bradycardia or heart block, particularly when one agent is added to pre-existing treatment with the other.
COREG CR should not be given to patients with severe hepatic impairment [see Contraindications (4)].
There is no clinically meaningful increase in AUC and Cmax with concomitant administration of carvedilol Phosphate extended-release capsules with pantoprazole.
COREG CR is contraindicated in the following conditions:
β-blockers can precipitate or aggravate symptoms of arterial insufficiency in patients with peripheral vascular disease. Caution should be exercised in such individuals.
Worsening heart failure or fluid retention may occur during up-titration of carvedilol. If such symptoms occur, diuretics should be increased, and the dose of COREG CR should not be advanced until clinical stability resumes [see Dosage and Administration (2)]. Occasionally it is necessary to lower the dose of COREG CR or temporarily discontinue it. Such episodes do not preclude subsequent successful titration of, or a favorable response to, COREG CR. In a placebo-controlled trial of subjects with severe heart failure, worsening heart failure during the first 3 months was reported to a similar degree with immediate-release carvedilol and with placebo. When treatment was maintained beyond 3 months, worsening heart failure was reported less frequently in subjects treated with carvedilol than with placebo. Worsening heart failure observed during long-term therapy is more likely to be related to the patients' underlying disease than to treatment with carvedilol.
If treatment with COREG CR is to be continued perioperatively, particular care should be taken when anesthetic agents that depress myocardial function, such as ether, cyclopropane, and trichloroethylene, are used [see Overdosage (10)].
Rarely, use of carvedilol in patients with heart failure has resulted in deterioration of renal function. Patients at risk appear to be those with low blood pressure (systolic blood pressure less than 100 mm Hg), ischemic heart disease and diffuse vascular disease, and/or underlying renal insufficiency. Renal function has returned to baseline when carvedilol was stopped. In patients with these risk factors, it is recommended that renal function be monitored during up-titration of COREG CR and the drug discontinued or dosage reduced if worsening of renal function occurs.
A double-blind, randomized, placebo-controlled, 8-week trial evaluated the blood pressure lowering effects of COREG CR 20 mg, 40 mg, and 80 mg once daily in 338 subjects with essential hypertension (sitting diastolic blood pressure [DBP] greater than or equal to 90 and less than or equal to 109 mm Hg). Of 337 evaluable subjects, a total of 273 subjects (81%) completed the trial. Of the 64 (19%) subjects withdrawn from the trial, 10 (3%) were due to adverse events, 10 (3%) were due to lack of efficacy; the remaining 44 (13%) withdrew for other reasons. The mean age of the subjects was approximately 53 years, 66% were male, and the mean sitting systolic blood pressure (SBP) and DBP at baseline were 150 mm Hg and 99 mm Hg, respectively. Dose titration occurred at 2-week intervals.
Statistically significant reductions in blood pressure as measured by 24-hour ambulatory blood pressure monitoring (ABPM) were observed with each dose of COREG CR compared with placebo. Placebo-subtracted mean changes from baseline in mean SBP/DBP were -6.1/-4.0 mm Hg, -9.4/-7.6 mm Hg, and -11.8/-9.2 mm Hg for COREG CR 20 mg, 40 mg, and 80 mg, respectively. Placebo-subtracted mean changes from baseline in mean trough (average of hours 20 to 24) SBP/DBP were -3.3/-2.8 mm Hg, -4.9/-5.2 mm Hg, and -8.4/-7.4 mm Hg for COREG CR 20 mg, 40 mg, and 80 mg, respectively. The placebo-corrected trough-to-peak (3 to 7 h) ratio was approximately 0.6 for COREG CR 80 mg. In this trial, assessments of 24-hour ABPM monitoring demonstrated statistically significant blood pressure reductions with COREG CR throughout the dosing period (Figure 5).
Figure 5. Changes from Baseline in Systolic Blood Pressure and Diastolic Blood Pressure Measured by 24-Hour ABPM
Immediate-release carvedilol was studied in 2 placebo-controlled trials that utilized twice-daily dosing at total daily doses of 12.5 to 50 mg. In these and other trials, the starting dose did not exceed 12.5 mg. At 50 mg per day, COREG reduced sitting trough (12-hour) blood pressure by about 9/5.5 mm Hg; at 25 mg per day the effect was about 7.5/3.5 mm Hg. Comparisons of trough-to-peak blood pressure showed a trough-to-peak ratio for blood pressure response of about 65%. Heart rate fell by about 7.5 beats per minute at 50 mg per day. In general, as is true for other β-blockers, responses were smaller in black than non-black subjects. There were no age- or gender-related differences in response. The dose-related blood pressure response was accompanied by a dose-related increase in adverse effects [see Adverse Reactions (6)].
The initial clinical trials of COREG CR in subjects with hypertension, heart failure, and left ventricular dysfunction following myocardial infarction did not include sufficient numbers of subjects aged 65 years or older to determine whether they respond differently from younger patients.
A randomized trial (n = 405) comparing subjects with mild to severe heart failure switched to COREG CR or maintained on immediate-release carvedilol tablets included 220 subjects who were aged 65 years or older. In this elderly subgroup, the combined incidence of dizziness, hypotension, or syncope was 24% (18/75) in subjects switched from the highest dose of immediate-release carvedilol tablets (25 mg twice daily) to the highest dose of COREG CR (80 mg once daily) compared with 11% (4/36) in subjects maintained on immediate-release carvedilol tablets (25 mg twice daily). When switching from the higher doses of immediate-release carvedilol tablets to COREG CR, a lower starting dose is recommended for elderly patients [see Dosage and Administration (2.5)].
The following information is available for trials with immediate-release carvedilol. Of the 765 subjects with heart failure randomized to carvedilol in U.S. clinical trials, 31% (235) were aged 65 years or older, and 7.3% (56) were aged 75 years or older. Of the 1,156 subjects randomized to carvedilol in a long-term, placebo-controlled trial in severe heart failure, 47% (547) were aged 65 years or older, and 15% (174) were aged 75 years or older. Of 3,025 subjects receiving carvedilol in heart failure trials worldwide, 42% were aged 65 years or older. Of the 975 subjects with myocardial infarction randomized to carvedilol in the CAPRICORN trial, 48% (468) were aged 65 years or older, and 11% (111) were aged 75 years or older. Of the 2,065 hypertensive subjects in U.S. clinical trials of efficacy or safety who were treated with carvedilol, 21% (436) were aged 65 years or older. Of 3,722 subjects receiving immediate-release carvedilol in hypertension clinical trials conducted worldwide, 24% were aged 65 years or older.
With the exception of dizziness in hypertensive subjects (incidence 8.8% in the elderly versus 6% in younger subjects), no overall differences in the safety or effectiveness (see Figures 2 and 4) were observed between the older subjects and younger subjects in each of these populations. Similarly, other reported clinical experience has not identified differences in responses between the elderly and younger subjects, but greater sensitivity of some older individuals cannot be ruled out.
DOSAGE MUST BE INDIVIDUALIZED AND CLOSELY MONITORED BY A PHYSICIAN DURING UP-TITRATION. Prior to initiation of COREG CR, it is recommended that fluid retention be minimized. The recommended starting dose of COREG CR is 10 mg once daily for 2 weeks. Patients who tolerate a dose of 10 mg once daily may have their dose increased to 20, 40, and 80 mg over successive intervals of at least 2 weeks. Patients should be maintained on lower doses if higher doses are not tolerated.
Patients should be advised that initiation of treatment and (to a lesser extent) dosage increases may be associated with transient symptoms of dizziness or lightheadedness (and rarely syncope) within the first hour after dosing. Thus, during these periods, they should avoid situations such as driving or hazardous tasks, where symptoms could result in injury. Vasodilatory symptoms often do not require treatment, but it may be useful to separate the time of dosing of COREG CR from that of the ACE inhibitor or to reduce temporarily the dose of the ACE inhibitor. The dose of COREG CR should not be increased until symptoms of worsening heart failure or vasodilation have been stabilized.
Fluid retention (with or without transient worsening heart failure symptoms) should be treated by an increase in the dose of diuretics.
The dose of COREG CR should be reduced if patients experience bradycardia (heart rate less than 55 beats per minute).
Episodes of dizziness or fluid retention during initiation of COREG CR can generally be managed without discontinuation of treatment and do not preclude subsequent successful titration of, or a favorable response to, COREG CR.
Agents with non-selective β-blocking activity may provoke chest pain in patients with Prinzmetal's variant angina. There has been no clinical experience with carvedilol in these patients although the α-blocking activity may prevent such symptoms. However, caution should be taken in the administration of COREG CR to patients suspected of having Prinzmetal's variant angina.
Because clinical trials are conducted under widely varying conditions, adverse reaction rates observed in the clinical trials of a drug cannot be directly compared with rates in the clinical trials of another drug and may not reflect the rates observed in practice.
Carvedilol has been evaluated for safety in subjects with heart failure (mild, moderate, and severe), in subjects with left ventricular dysfunction following myocardial infarction, and in hypertensive subjects. The observed adverse event profile was consistent with the pharmacology of the drug and the health status of the subjects in the clinical trials. Adverse events reported for each of these populations reflecting the use of either COREG CR or immediate-release carvedilol tablets are provided below. Excluded are adverse events considered too general to be informative, and those not reasonably associated with the use of the drug because they were associated with the condition being treated or are very common in the treated population. Rates of adverse events were generally similar across demographic subsets (men and women, elderly and non-elderly, blacks and non-blacks). COREG CR has been evaluated for safety in a 4-week (2 weeks of immediate-release carvedilol tablets and 2 weeks of COREG CR) clinical trial (n = 187) which included 157 subjects with stable mild, moderate, or severe chronic heart failure and 30 subjects with left ventricular dysfunction following acute myocardial infarction. The profile of adverse events observed with COREG CR in this small, short-term trial was generally similar to that observed with immediate-release carvedilol tablets. Differences in safety would not be expected based on the similarity in plasma levels for COREG CR and immediate-release carvedilol.
Modest increases in mean trough cyclosporine concentrations were observed following initiation of carvedilol treatment in 21 renal transplant subjects suffering from chronic vascular rejection. In about 30% of subjects, the dose of cyclosporine had to be reduced in order to maintain cyclosporine concentrations within the therapeutic range, while in the remainder no adjustment was needed. On the average for the group, the dose of cyclosporine was reduced about 20% in these subjects. Due to wide interindividual variability in the dose adjustment required, it is recommended that cyclosporine concentrations be monitored closely after initiation of carvedilol therapy and that the dose of cyclosporine be adjusted as appropriate.
COREG CR is an extended-release capsule intended for once-daily administration. Patients controlled with immediate-release carvedilol tablets alone or in combination with other medications may be switched to COREG CR extended-release capsules based on the total daily doses shown in Table 1.
COREG CR should be taken once daily in the morning with food. COREG CR should be swallowed as a whole capsule. COREG CR and/or its contents should not be crushed, chewed, or taken in divided doses.
20 mg
NDC 69784-385-13
WOODWARD PHARMA
ONCE-A-DAYDOSING
COREG CR(carvedilol phosphate)Extended-release Capsules
30 CapsulesRx only
Patients with coronary artery disease, who are being treated with COREG CR, should be advised against abrupt discontinuation of therapy. Severe exacerbation of angina and the occurrence of myocardial infarction and ventricular arrhythmias have been reported in patients with angina following the abrupt discontinuation of therapy with β-blockers. The last 2 complications may occur with or without preceding exacerbation of the angina pectoris. As with other β-blockers, when discontinuation of COREG CR is planned, the patients should be carefully observed and advised to limit physical activity to a minimum. COREG CR should be discontinued over 1 to 2 weeks whenever possible. If the angina worsens or acute coronary insufficiency develops, it is recommended that COREG CR be promptly reinstituted, at least temporarily. Because coronary artery disease is common and may be unrecognized, it may be prudent not to discontinue therapy with COREG CR abruptly even in patients treated only for hypertension or heart failure.
Both digitalis glycosides and β-blockers slow atrioventricular conduction and decrease heart rate. Concomitant use can increase the risk of bradycardia. Digoxin concentrations are increased by about 15% when digoxin and carvedilol are administered concomitantly. Therefore, increased monitoring of digoxin is recommended when initiating, adjusting, or discontinuing COREG CR [see Clinical Pharmacology (12.5)].
Read the Patient Information that comes with COREG CR before you start taking it and each time you get a refill. There may be new information. This information does not take the place of talking with your doctor about your medical condition or your treatment. If you have any questions about COREG CR, ask your doctor or pharmacist.
What is the most important information I should know about COREG CR?
It is important for you to take your medicine every day as directed by your doctor. If you stop taking COREG CR suddenly, you could have chest pain and a heart attack. If your doctor decides that you should stop taking COREG CR, your doctor may slowly lower your dose over time before stopping it completely.
What is COREG CR?
COREG CR is a prescription medicine that belongs to a group of medicines called "beta-blockers". COREG CR is used, often with other medicines, for the following conditions:
COREG CR is not approved for use in children under 18 years of age.
Who should not take COREG CR?
Do not take COREG CR if you:
What should I tell my doctor before taking COREG CR?
Tell your doctor about all of your medical conditions, including if you:
Tell your doctor about all of the medicines you take including prescription and over-the-counter medicines, vitamins, and herbal supplements. COREG CR and certain other medicines can affect each other and cause serious side effects. COREG CR may affect the way other medicines work. Also, other medicines may affect how well COREG CR work.
Know the medicines you take. Keep a list of your medicines and show it to your doctor and pharmacist before you start a new medicine.
How should I take COREG CR?
What should I avoid while taking COREG CR?
COREG CR can cause you to feel dizzy, tired, or faint. Do not drive a car, use machinery, or do anything that needs you to be alert if you have these symptoms.
What are possible side effects of COREG CR?
Serious side effects of COREG CR include:
Common side effects of COREG CR include shortness of breath, weight gain, diarrhea, and tiredness. If you wear contact lenses, you may have fewer tears or dry eyes that can become bothersome.
Call your doctor if you have any side effects that bother you or don't go away.
Call your doctor for medical advice about side effects. You may report side effects to FDA at 1-800-FDA-1088.
How should I store COREG CR?
Store COREG CR at less than 86°F (30°C).
Safely throw away COREG CR that is out of date or no longer needed.
Keep COREG CR and all medicines out of the reach of children.
General information about COREG CR
Medicines are sometimes prescribed for conditions other than those described in patient information leaflets. Do not use COREG CR for a condition for which it was not prescribed. Do not give COREG CR to other people, even if they have the same symptoms you have. It may harm them.
This leaflet summarizes the most important information about COREG CR. If you would like more information, talk with your doctor. You can ask your doctor or pharmacist for information about COREG CR that is written for healthcare professionals.
What are the ingredients in COREG CR?
Active ingredient: carvedilol phosphate
Inactive ingredients: crospovidone, hydrogenated castor oil, hydrogenated vegetable oil, magnesium stearate, methacrylic acid copolymers, microcrystalline cellulose, and povidone
COREG CR come in the following strengths: 10 mg, 20 mg, 40 mg, 80 mg.
What is high blood pressure (hypertension)?
Blood pressure is the force of blood in your blood vessels when your heart beats and when your heart rests. You have high blood pressure when the force is too much. High blood pressure makes the heart work harder to pump blood through the body and causes damage to blood vessels. COREG CR can help your blood vessels relax so your blood pressure is lower. Medicines that lower blood pressure may lower your chance of having a stroke or heart attack.
COREG CR and COREG are trademarks owned by or licensed by Woodward Pharma Services LLC.
Distributed by: Woodward Pharma Services LLCWixom, MI 48393
February 2022
While taking β-blockers, patients with a history of severe anaphylactic reaction to a variety of allergens may be more reactive to repeated challenge, either accidental, diagnostic, or therapeutic. Such patients may be unresponsive to the usual doses of epinephrine used to treat allergic reaction.
40 mg
NDC 69784-387-13
WOODWARD PHARMA
ONCE-A-DAYDOSING
COREG CR(carvedilol phosphate)Extended-release Capsules
30 CapsulesRx only
The hard gelatin capsules are filled with white to off-white microparticles and are available in the following strengths:
COREG CR is indicated for the treatment of mild-to-severe chronic heart failure of ischemic or cardiomyopathic origin, usually in addition to diuretics, ACE inhibitors, and digitalis, to increase survival and, also, to reduce the risk of hospitalization [see Drug Interactions (7.4), Clinical Studies (14.1)].
When switching elderly patients (aged 65 years or older) who are taking the higher doses of immediate-release carvedilol tablets (25 mg twice daily) to COREG CR, a lower starting dose (40 mg) of COREG CR is recommended to minimize the potential for dizziness, syncope, or hypotension [see Dosage and Administration (2)]. Patients who have switched and who tolerate COREG CR should, as appropriate, have their dose increased after an interval of at least 2 weeks [see Use in Specific Populations (8.5)].
Effectiveness of carvedilol in patients younger than 18 years has not been established.
In a double-blind trial, 161 children (mean age: 6 years; range: 2 months to 17 years; 45% younger than 2 years) with chronic heart failure [NYHA class II-IV, left ventricular ejection fraction less than 40% for children with a systemic left ventricle (LV), and moderate-severe ventricular dysfunction qualitatively by echo for those with a systemic ventricle that was not an LV] who were receiving standard background treatment were randomized to placebo or to 2 dose levels of carvedilol. These dose levels produced placebo-corrected heart rate reduction of 4 to 6 heart beats per minute, indicative of β-blockade activity. Exposure appeared to be lower in pediatric subjects than adults. After 8 months of follow-up, there was no significant effect of treatment on clinical outcomes. Adverse reactions in this trial that occurred in greater than 10% of subjects treated with immediate-release carvedilol and at twice the rate of placebo-treated subjects included chest pain (17% versus 6%), dizziness (13% versus 2%), and dyspnea (11% versus 0%).
In clinical trials of primarily mild-to-moderate heart failure with immediate-release carvedilol, hypotension and postural hypotension occurred in 9.7% and syncope in 3.4% of subjects receiving carvedilol compared with 3.6% and 2.5% of placebo subjects, respectively. The risk for these events was highest during the first 30 days of dosing, corresponding to the up-titration period and was a cause for discontinuation of therapy in 0.7% of carvedilol subjects, compared with 0.4% of placebo subjects. In a long-term, placebo-controlled trial in severe heart failure (COPERNICUS), hypotension and postural hypotension occurred in 15.1% and syncope in 2.9% of subjects with heart failure receiving carvedilol compared with 8.7% and 2.3% of placebo subjects, respectively. These events were a cause for discontinuation of therapy in 1.1% of carvedilol subjects, compared with 0.8% of placebo subjects.
In a trial comparing subjects with heart failure switched to COREG CR or maintained on immediate-release carvedilol tablets, there was a 2-fold increase in the combined incidence of hypotension, syncope, or dizziness in elderly subjects (older than 65 years) switched from the highest dose of immediate-release carvedilol (25 mg twice daily) to COREG CR 80 mg once daily [see Dosage and Administration (2), Use in Specific Populations (8.5)].
In the clinical trial of COREG CR in hypertensive subjects, syncope was reported in 0.3% of subjects receiving COREG CR compared with 0% of subjects receiving placebo. There were no reports of postural hypotension in this trial. Postural hypotension occurred in 1.8% and syncope in 0.1% of hypertensive subjects receiving immediate-release carvedilol, primarily following the initial dose or at the time of dose increase and was a cause for discontinuation of therapy in 1% of subjects.
In the CAPRICORN trial of survivors of an acute myocardial infarction with left ventricular dysfunction, hypotension or postural hypotension occurred in 20.2% of subjects receiving carvedilol compared with 12.6% of placebo subjects. Syncope was reported in 3.9% and 1.9% of subjects, respectively. These events were a cause for discontinuation of therapy in 2.5% of subjects receiving carvedilol, compared with 0.2% of placebo subjects.
Starting with a low dose, administration with food, and gradual up-titration should decrease the likelihood of syncope or excessive hypotension [see Dosage and Administration (2.1, 2.2, 2.3)].
During initiation of therapy, the patient should be cautioned to avoid situations such as driving or hazardous tasks, where injury could result should syncope occur.
In a double-blind trial (GEMINI), carvedilol, added to an ACE inhibitor or angiotensin receptor blocker, was evaluated in a population with mild-to-moderate hypertension and well-controlled type 2 diabetes mellitus. The mean HbA1c at baseline was 7.2%. COREG was titrated to a mean dose of 17.5 mg twice daily and maintained for 5 months. COREG had no adverse effect on glycemic control, based on HbA1c measurements (mean change from baseline of 0.02%, 95% CI: -0.06 to 0.10, P = NS) [see Warnings and Precautions (5.6)].
DOSAGE MUST BE INDIVIDUALIZED. The recommended starting dose of COREG CR is 20 mg once daily. If this dose is tolerated, using standing systolic pressure measured about 1 hour after dosing as a guide, the dose should be maintained for 7 to 14 days, and then increased to 40 mg once daily if needed, based on trough blood pressure, again using standing systolic pressure 1 hour after dosing as a guide for tolerance. This dose should also be maintained for 7 to 14 days and can then be adjusted upward to 80 mg once daily if tolerated and needed. Although not specifically studied, it is anticipated the full antihypertensive effect of COREG CR would be seen within 7 to 14 days as had been demonstrated with immediate-release carvedilol. Total daily dose should not exceed 80 mg.
Concomitant administration with a diuretic can be expected to produce additive effects and exaggerate the orthostatic component of carvedilol action.
Interactions of carvedilol with potent inhibitors of CYP2D6 isoenzyme (such as quinidine, fluoxetine, paroxetine, and propafenone) have not been studied, but these drugs would be expected to increase blood levels of the R(+) enantiomer of carvedilol [see Clinical Pharmacology (12.3)]. Retrospective analysis of side effects in clinical trials showed that poor 2D6 metabolizers had a higher rate of dizziness during up-titration, presumably resulting from vasodilating effects of the higher concentrations of the α-blocking R(+) enantiomer.
β-adrenergic blockade may mask clinical signs of hyperthyroidism, such as tachycardia. Abrupt withdrawal of β-blockade may be followed by an exacerbation of the symptoms of hyperthyroidism or may precipitate thyroid storm.
Advise the patient to read the FDA-approved patient labeling (Patient Information)
Patients taking COREG CR should be advised of the following:
COREG CR and COREG are trademarks owned or licensed to Woodward Pharma Services LLC.
The other brand listed is a trademark owned by or licensed to its owner and is not owned by or licensed to the Woodward Pharma Services LLC. The maker of this brand is not affiliated with and does not endorse Woodward Pharma Services LLC or its products.
Rifampin reduced plasma concentrations of carvedilol by about 70% [see Clinical Pharmacology (12.5)]. Cimetidine increased area under the curve (AUC) by about 30% but caused no change in Cmax [see Clinical Pharmacology (12.5)].
10 mg
NDC 69784-383-13
WOODWARD PHARMA
ONCE-A-DAYDOSING
COREG CR(carvedilol phosphate)Extended-release Capsules
30 CapsulesRx only
Patients taking a β-blocker and a drug that can deplete catecholamines (e.g., reserpine and monoamine oxidase inhibitors) should be observed closely for signs of hypotension and/or severe bradycardia.
Concomitant administration of clonidine with a β-blocker may cause hypotension and bradycardia. When concomitant treatment with a β-blocker and clonidine is to be terminated, the β-blocker should be discontinued first. Clonidine therapy can then be discontinued several days later by gradually decreasing the dosage.
Patients with bronchospastic disease (e.g., chronic bronchitis, emphysema) should, in general, not receive β-blockers. COREG CR may be used with caution, however, in patients who do not respond to, or cannot tolerate, other antihypertensive agents. It is prudent, if COREG CR are used, to use the smallest effective dose, so that inhibition of endogenous or exogenous β-agonists is minimized.
In clinical trials of subjects with heart failure, subjects with bronchospastic disease were enrolled if they did not require oral or inhaled medication to treat their bronchospastic disease. In such patients, it is recommended that COREG CR be used with caution. The dosing recommendations should be followed closely, and the dose should be lowered if any evidence of bronchospasm is observed during up-titration.
In patients with pheochromocytoma, an α-blocking agent should be initiated prior to the use of any β-blocking agent. Although carvedilol has both α- and β-blocking pharmacologic activities, there has been no experience with its use in this condition. Therefore, caution should be taken in the administration of carvedilol to patients suspected of having pheochromocytoma.
The following adverse reactions have been identified during post-approval use of COREG or COREG CR. Because these reactions are reported voluntarily from a population of uncertain size, it is not always possible to reliably estimate their frequency or establish a causal relationship to drug exposure.
Blood and Lymphatic System Disorders
Aplastic anemia.
Immune System Disorders
Hypersensitivity (e.g., anaphylactic reactions, angioedema, urticaria).
Renal and Urinary Disorders
Urinary incontinence.
Respiratory, Thoracic, and Mediastinal Disorders
Interstitial pneumonitis.
Skin and Subcutaneous Tissue Disorders
Stevens-Johnson syndrome, toxic epidermal necrolysis, erythema multiforme.
In clinical trials of COREG CR in subjects with hypertension (338 subjects) and in subjects with left ventricular dysfunction following a myocardial infarction or heart failure (187 subjects), the profile of adverse events observed with carvedilol phosphate was generally similar to that observed with the administration of immediate-release carvedilol. Therefore, the information included within this section is based on data from controlled clinical trials with COREG CR as well as immediate-release carvedilol.
In general, β-blockers may mask some of the manifestations of hypoglycemia, particularly tachycardia. Nonselective β-blockers may potentiate insulin-induced hypoglycemia and delay recovery of serum glucose levels. Patients subject to spontaneous hypoglycemia or diabetic patients receiving insulin or oral hypoglycemic agents should be cautioned about these possibilities.
In patients with heart failure and diabetes, carvedilol therapy may lead to worsening hyperglycemia, which responds to intensification of hypoglycemic therapy. It is recommended that blood glucose be monitored when dosing with COREG CR is initiated, adjusted, or discontinued. Trials designed to examine the effects of carvedilol on glycemic control in patients with diabetes and heart failure have not been conducted.
In a trial designed to examine the effects of immediate-release carvedilol on glycemic control in a population with mild-to-moderate hypertension and well-controlled type 2 diabetes mellitus, carvedilol had no adverse effect on glycemic control, based on HbA1c measurements [see Clinical Studies (14.4)].
Support for the use of COREG CR extended-release capsules for the treatment of mild-to-severe heart failure and for patients with left ventricular dysfunction following myocardial infarction is based on the equivalence of pharmacokinetic and pharmacodynamic (β1-blockade) parameters between COREG CR and immediate-release carvedilol tablets [see Clinical Pharmacology (12.2, 12.3)].
The clinical trials performed with immediate-release carvedilol tablets in heart failure and left ventricular dysfunction following myocardial infarction are presented below.
The hard gelatin capsules are available in the following strengths:
In 2-year studies conducted in rats given carvedilol at doses up to 75 mg per kg per day (12 times the MRHD as mg per m2) or in mice given up to 200 mg per kg per day (16 times the MRHD as mg per m2), carvedilol had no carcinogenic effect.
Carvedilol was negative when tested in a battery of genotoxicity assays, including the Ames and the CHO/HGPRT assays for mutagenicity and the in vitro hamster micronucleus and in vivo human lymphocyte cell tests for clastogenicity.
In a combined fertility/developmental/post-natal toxicity study, rats were given carvedilol (12, 60, 300 mg per kg per day) orally by gavage for 2 weeks before mating and through mating, gestation, and weaning for females and for 62 days prior to and through mating for males. At a dosage of 300 mg per kg per day (greater than or equal to 50 times the MRHD as mg per m2) carvedilol was toxic to adult rats (sedation, reduced weight gain) and was associated with a reduced number of successful matings, prolonged mating time, fewer corpora lutea and implants per dam, fewer live pups per litter, and delays in physical growth/development. The no-effect level for overt toxicity and impairment of fertility was 60 mg per kg per day (10 times the MRHD as mg per m2).
A total of 6,975 subjects with mild-to-severe heart failure were evaluated in placebo-controlled and active-controlled trials of immediate-release carvedilol.